华亿网页版-华亿(中国)-华亿(中国)
当前位置:华亿网页版 > 教务处 > 教研教改
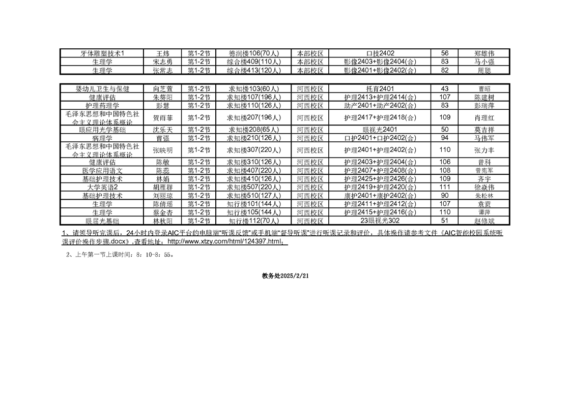
2024-2025学年第二学期全校第一课(2月24日)干部听课安排表
编辑:刘旭波     发布时间:2025-02-22    浏览:986



打印本页      关闭窗口