华亿网页版-华亿(中国)-华亿(中国)
华亿网页版 > 创新创业中心 > 双创大赛
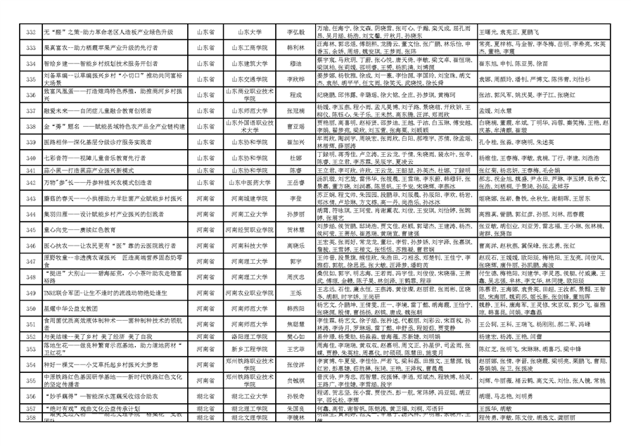
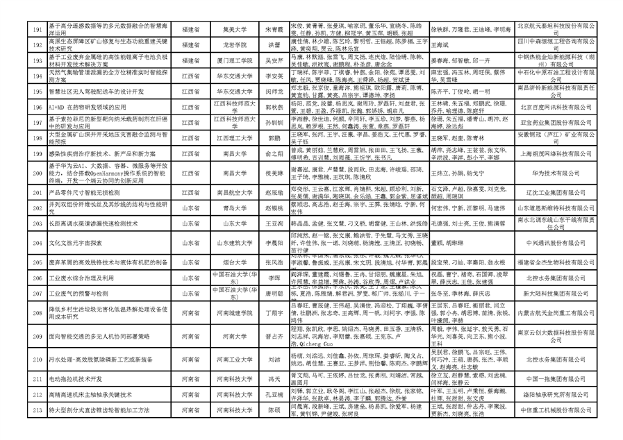
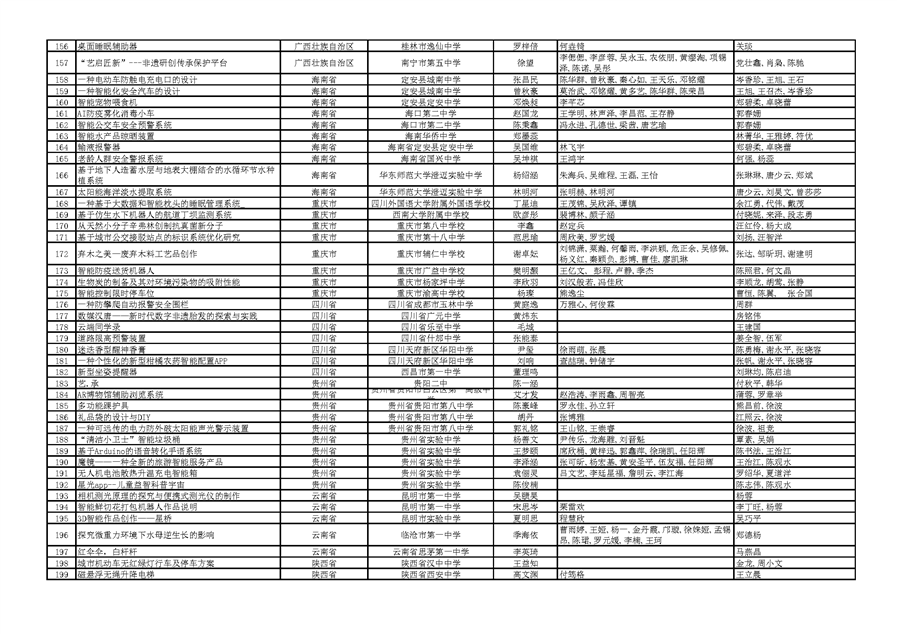
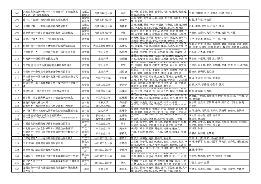
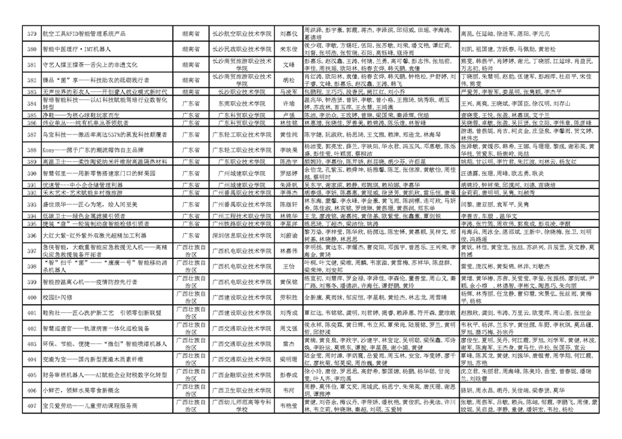
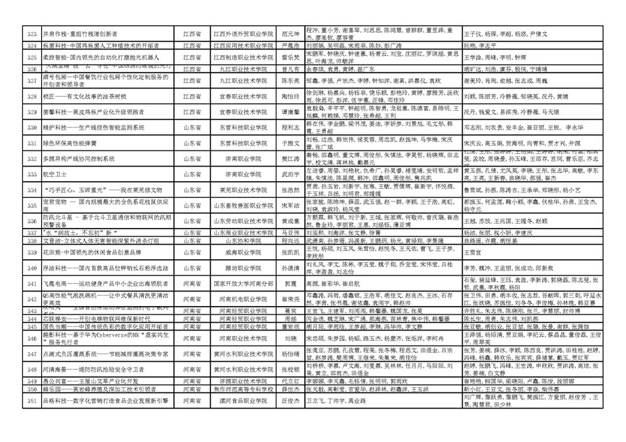
关于公示第八届中国国际“互联网+”大学生创新创业大赛总决赛有关赛事获奖名单的通知
编辑:创新创业     发布时间:2023-03-20    浏览:2752




























































































































































打印本页   |   关闭窗口